티스토리 뷰
목차
빛과 물질의 이중성은 파동성과 입자성을 동시에 가진다는 의미입니다. 빛은 전자기파로서의 파동이나 동시에 광자라는 입자 형태로도 에너지를 전달합니다. 드브로이는 빛을 포함한 모든 물질이 이처럼 파동적 성질을 가진다고 제안했습니다.
빛은 입자일까, 파동일까?: 난 파동이야!
오랫동안 빛의 입자설과 파동설이 다양한 과학자들에 의해 제안되고 실험적인 검증 연구가 있었습니다.결론은 빛은 입자의 성질과 파동성의 성질을 모두 보여 주고 있습니다. 이제 그 결론에 어떻게 이르렀는지 알아 보겠습니다.
17세기 후반, 네덜란드의 과학자 호이겐스는 빛이 파동의 형태로 퍼지는 것을 물결이 물 위를 퍼지는 것과 유사한 파동 모델로 설명하였습니다. 이 모델에서 빛은 공간을 통해 전파되는 파동으로 가정하여 빛의 회절과 굴절 현상을 설명할 수 있었습니다. 아래 그림은 파동성을 보여주는 것으로 물결이 장애물에 부딪친 후 뒤로 퍼져 가는 현상과 유사하게 빛의 그림자가 장애물 뒷부분에서 안쪽으로 휘어져서 보입니다. 빛이 입자라면 오른쪽이 아닌 왼쪽과 같이 퍼져 나가야 합니다.

이러한 거시적인 관찰이 아닌 명확한 파동성은 약 100년이 지나면서 검증되기 시작한다. 분산은 태양광처럼 다양한 파장을 포함한 빛이 다른 속도로 전파될 때 발생하며 프리즘을 통과할 때 빛이 분산되어 무지개 색깔로 나타나는 것이 이에 해당합니다. 회절은 빛이 좁은 구멍이나 장애물 가장자리를 지나갈 때 굴절하면서 그 경로가 변하는 현상입니다. 이는 파동의 전파 특성으로 파동이 장애물 뒤로 퍼져 나갑니다. 간섭은 빛을 파동이라 고려하여 인접한 두 개의 작은 구멍을 통과하여 나온 두 빛이 다시 겹쳐질 때, 겹쳐진 빛의 진폭은 보강하거나 상쇄하는 상호작용을 합니다. 이러한 현상아 간섭이며 두 파동의 위상 차이에 따라 다르게 나타납니다.

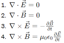
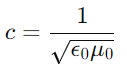
19세기 후반 맥스웰은 전기장과 자기장이 서로 상호작용하여 전자기파가 발생한다는 것을 수학적으로 증명했습니다. 전자기파는 변화하는 전기장과 자기장으로 구성되어 서로 직각을 이루며 공간을 통해 진행합니다. 이 방정식은 전자기파의 전파를 예측하며, 빛의 속도 c, 공간의 전기적 투자율 ε과 자기적 투자율 𝜇에 의해 결정됩니다. 빛의 속도는 다음 수식과 같습니다. 전하 및 전류가 없는 공간인 진공 중에서 맥스웰의 방정식은 다음과 같습니다.

1항은 전기장이 발산하지 않으므로 전기장이 어떤 지점에서도 내부로 들어오거나 나가는 순전하가 없습니다. 2항은 자기장이 발산하지 않으므로 자기장 라인이 닫힌 루프를 형성하고, 어떤 지점에서도 자기장이 순수하게 생성되거나 소멸되지 않습니다. 이 두 조건은 전자기파가 전하나 자기 모노폴이 없는 진공에서 자유롭게 전파할 수 있다는 것을 알려 줍니다. 3항은 패러데이의 전자기 유도법칙으로 시간에 따라 변하는 자기장이 전기장을 유도한다는 공식입니다. 즉, 자기장이 변할 때 그 변화가 전기장을 생성하는 원인이 되며 전기모터나 발전기와 같은 다양한 전자기 장치의 작동 원리입니다. 4항은 맥스웰이-암페어 법칠으로 시간에 따라 변하는 전기장이 자기장을 유도한다는 것입니다. 이 방정식은 전기장의 변화가 자기장을 생성함으로써 전자기파가 자기적 특성과 전기적 특성을 동시에 가진다는 것울 보여 줍니다. 3항과 4항은 전기장의 변화가 자기장을 유도하고, 이 자기장의 변화가 다시 전기장을 유도하는 과정이 반복되면서 전자기파는 공간을 통해 전파되는 원리를 설명합니다. 맥스웰의 방정식에서 전기장과 자기장에 대한 파동 방정식을 유도하면 아래의 파동 방정식을 얻을 수 있습니다.


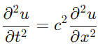
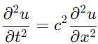
첫 번째는 맥스웰의 파동 방정식으로 왼쪽은 전기장에 대한 식(라플라시안)이고, 오른쪽은 전기장의 시간에 따른 편미분에 상수 와 일반적인 파동 방정식으로 는 파동의 변위, 와 는 각각 공간과 시간, 는 파동의 전파 속도입니다. 이 식에서 왼쪽은 파동의 가속도, 오른쪽은 파동의 곡률, 파동의 속도 는 이 두 효과 간의 관계입니다. 이 두 식을 비교한 결과입니다.

이 방정식은 전기장 가 시간과 공간에 따라 어떻게 변화하는지를 설명하며, 빛의 속도 는 위 수식이 성립하므로 전자기파 이론은 빛의 파동적 특성을 보여 줍니다. 이렇든 다양한 실험 및 이론에서 빛은 파동의 성질을 가지고 있다는 것을 알려 주고 있습니다.
빛은 입자일까, 파동일까?: 난 입자야!
하지만 19세기 후반, 막스 플랑크는 흑체(black body) 복사 연구의 결과로 복사 에너지가 연속적으로 분포되는 것이 아니라 이산적인 작은 단위인 양자로 나뉘어져 있다고 제안하였습니다. "에너지가 이산화된"이라는 의미는 에너지가 특정 값이나 간격을 두고 나뉘어져 있는 상태를 의미합니다. "흑체"란 모든 파장의 전자기파를 완전히 흡수하고 완전히 방출하는 물질입니다. "전자기파"는 전자기장을 통해 전파되는 에너지로 빛, 라디오파, 마이크로파, 엑스레이, 감마선 등입니다. 복사란 일반적으로 물질이 내부에서 에너지를 흡수하고 이를 외부로 방출하는 과정입니다. 물체가 빛을 방출하면 "광선", 열을 방출하면 "열복사", 입자이면 입자나 입자의 흐름을 "입자복사"라 합니다. 흑체복사의 한 예시로 빛을 완전히 흡수하여 모든 에너지를 열로 내 놓으면 흑체 복사 현상이 일어났다고 할 수 있습니다. 흑체와 유사한 물체로는 검은색의 매우 거친 표면을 상상하면 됩니다. 플랑크의 방정식은 흑체 복사에서 각 파장의 에너지 밀도를 아래와 같은 수식으로 표현됩니다. 이 수식은 빛의 특성을 이해하는 데 핵심적인 역할을 하며 빛이 입자 성질을 가지며, 에너지가 이산화된 양자로 행동한다는 것을 보여 줍니다.

이 수식에서
- 는 파장 와 온도 에서의 단위 시간당 단위 면적에서 방출되는 에너지를 나타냅니다.
- ℎ는 플랑크 상수로 6.62607015×10^(-34) m^2 kg/s입니다.
- 는 빛의 속도 299,792,458 m/s입니다.
- 는 파장입니다. 여기서는 500 nm로 주어졌습니다.
- 는 볼츠만 상수로 약 1.380649×10^(-23) m^2 kg/s^2 K입니다.
- 는 온도입니다. 여기서는 300 K(캘빈)로 주어졌습니다.
주어진 파장 nm, 온도 K에서의 에너지 값은 다음과 같이 계산됩니다.
먼저 분모의 첫항의 지수를 계산하면
ℎc/
(6.62607015×10(−34) m^2 kg/s)×(299,792,458 m/s) / ((450×10(−9) m)×(1.380649×10(−23) m^2 kg/s^2 K)×(300 K))
≈ 0.007953
따라서, 분모를 계산하면
2πℎc^2 ≈ 2×3.14159×(6.62607015×10^(−34))×(299,792,458^2)
≈ 3.96023×10(−25) m^2 kg/s^2
위의 결과를 모두 결합하면
= (3.96023×10^(−25) m^2 kg/s^2) / ((450×10^(−9))^5×0.008 m^5)
따라서, 주어진 파장과 온도에서 에너지 값은 약 2,04 입니다.
짧은 파장과 긴 파장에 이 방법을 적용하면 다음 결과가 나옵니다.
E(500 nm, 300 K) ≈ 2.04×10^(−19) J
E(450 nm, 300 K) ≈ 3.13×10^(−19) J
E(300 nm, 300 K) ≈ 4.09×10^(−19) J
여기서 E(λ,T)는 에너지 밀도 혹은 에너지 스펙트럼으로 흑체 복사에서 특정 파장 λ인 빛과 흑체 온도 T에서 방출되는 빛 에너지가 파장이 짧을수록 에너지가 높아지며, 파장이 길수록 에너지가 낮아집니다. 여기서 빛의 에너지가 작은 덩어리로 전달하는 것으로 해석될 수 있습니다.
또한 아인슈타인은 광전효과 이론으로 빛이 입자 성질을 가졌다고 주장하였습니다. 1887년에 독일 물리학자 하인리히 헤르츠(Heinrich Hertz)는 자외선 등을 사용하여 금속 표면에 빛을 쏘면 금속 표면에서 전자가 튀어 나오는 현상인 광전효과를 발견하였습니다. 아래 그림에서 빛의 에너지가 2 eV 임계값 이상이면 칼륨 금속 표면에서 전자가 튀어 나오는 현상을 관찰할 수 있습니다. 즉, 빛의 주파수나 강도를 변화시키면 전자의 방출 여부와 에너지가 달라지는 현상이 일어 납니다. 700 nm 빛은 매우 강한 빛을 긴 시간 쬐어도 전자가 방출되지 않느나 550 nm는 극히 약한 빛을 쬐어도 전자를 방출한다. 즉, 빛이 입자로서의 에너지를 전달하는 것을 의미합니다. 파동이라면 계속 에너지를 전달하므로 결국은 튀어 나와야 합니다.

전자볼트(eV)는 에너지의 단위이며 원자, 분자, 전자와 같은 미시 세계의 입자의 에너지를 표현하며 전자볼트는 1개의 전자가 1볼트의 전위차를 거쳐 이동했을 때 얻는 에너지로
1 eV = 1개 전자 전하량(e) × 1 V = 1.602×10^(−19) 쿨롱 x 1 V = 1.602×10^(−19) J 입니다.
그렇다면 전자는 파동일까, 입자일까?
20세기 초, 양자 역학의 등장하고 빛의 입자성과 파동성을 동시에 설명할 수 있는 이론이 필요하게 되었습니다. 물질의 파동성을 수학적으로 표현하는 드브로이 파장 공식은 물질의 입자성과 파동성 사이의 관계를 연결하는 양자역학의 기초 개념입니다. 드브로이 파장은 아래 수식으로 정의됩니다.
λ = ℎ / p
이 수식에서
- 는 물질파의 파장입니다.
- ℎ는 플랑크 상수로 J·s 입니다.
- 는 물질의 운동량으로 로 계산됩니다. 여기서 은 물질의 질량, 는 속도입니다.
이 식에 따르면 파동과 입자의 이중성이 빛에만 적용되는 것이 아니라 모든 물질에 공통으로 적용되며 움직이는 모든 물질에는 파동 성질이 있으며, 이 파동의 파장은 그 물질의 운동량에 반비례한다고 식은 정의합니다. 이렇게 물질의 파동적 성질을 나타내는 "물질파"라 하며 원 자나 소립자와 같이 매우 작은 물질에 더욱 두드러집니다.
특수 상대성이론에서 에너지와 운동량 사이의 관계입니다.
E^2 = (pc)^2 + (mc^2)^2
이 수식에서
- 는 물질의 총 에너지입니다.
- 는 빛의 속도로 약 3.00×108 미터/초입니다.
- 은 물질의 정지 질량입니다.
드브로이 파장 공식을 활용하여 파동 수 k와 각주파수 ω를 계산할 수 있습니다:
k = 2π / λ = 2πp / ℎ
로 약 J·s 입니다.
플랑크가 제안한 파동의 에너지가 주파수에 비례하므로 각 주파수 로 표현됩니다. 따라서 에너지와 각주파수의 관계는 다음과 같이 재정리할 수 있습니다.
ω = E / ℏ
이 식에서 물질의 파동적 성질을 정량화 할 수 있으며 양자역학에서 물질의 파동 함수를 다루는 데 필수적입니다. 드브로이 파장은 물질의 파동적 성질을 설명하며, 전자, 원자, 분자와 같은 입자들의 파동적 행동을 연구하는 데 사용됩니다. 더 나아가 20세기 중반에 푸리에 분석과 양자 역학의 발전으로 빛은 파동의 형태로 공간으로 전파되지만 입자의 형태로도 행동할 수 있다는 것으로 확장됩니다.
전자가 100 km/s(100,000 m/s)의 속도로 움직일 때 드브로이의 물질파 이론을 적용하여 보겠습니다.
p = (9.109x10^(-31) kg) x (100,000 m/s)v) = 9.109x10^(-26) kg m/s)
λ =(6.626x10^(34) m^2 kg/s} / (9.109x10^(-26) kg m/s) = 7.27x10^(-9)v m = 7.27 nm
7.27 nm의 파장은 X-선 영역으로 전자가 매우 작은 파동 길이를 가지며 전자가 입자 성질 뿐만 아니라 파동 성질인 파장을 가져 간섭 및 회절 패턴 생성 가능하다는 것입니다.
결론: 빛과 물질의 이중성
빛과 물질의 이중성은 현대 물리학에서 가장 중요한 개념입니다. 먼저 빛의 파동성과 입자성입니다. 맥스웰의 이론은 빛이 전자기파로서 전파되며 빛이 파동이라고 합니다. 빛의 파동성은 간섭과 회절 실험을 통해 더욱 명확하여 집니다. 두 개의 좁은 슬릿을 통과한 빛이 스크린에 간섭 무늬를 형성하는 것은 확실한 파동성임을 보여 줍니다. 이론과 실험 모두에서 빛은 파동입니다. 하지만 1900년대 초에 플랑크와 아인슈타인은 빛이 연속적이지 않고 불연속적인 양인 "광자"라는 에너지 덩어리라 주장합니다. 광전효과에서 빛(광자)이 특정 금속 표면에 쐬이면 전자가 특정한 조건에서 방출되는 현상을 들어 빛이 입자로서 에너지를 전달한다는 증거를 제시합니다. 더 나아가서, 드브로이는 1924년에 모든 물질이 빛과 유사하게 파동적 성질을 가지는 "물질파" 개념을 주장합니다. 이 가설은 모든 움직이는 물질이 파동처럼 행동하며 이 파동의 파장은 물질의 운동량에 반비례한다는 식을 제시합니다. 이 이론은 전자를 사용한 회절 실험에서 입증되었으며, 전자가 파동처럼 물질도 간섭 무늬를 생성되는 것을 보여주었습니다. 한 발 더 나아가서, 이중성의 개념은 양자역학의 기초 개념이 되어 물질과 빛의 파동성 및 입자성을 통합하여 입자의 상태를 확률적으로만 설명할 수 있는 파동 함수로 미시적 세계를 설명합니다. 양자역학은 에너지, 위치, 운동량 등이 양자화된 상태로 존재하며 관측되기 전까지는 입자의 정확한 상태를 알 수 없다고 주장합니다.
'일상 너머의 탐구' 카테고리의 다른 글
| 올버스의 역설: 밤하늘이 왜 어두운가? (0) | 2024.04.13 |
|---|---|
| BCS 이론: 초전도의 미시적 세계 탐구 (1) | 2024.04.10 |
| 저항 없는 미래: 초전도 과학과 응용 (0) | 2024.04.10 |
| 흥미로운 역설 탐험: 슈뢰딩거 고양이 역설 (0) | 2024.04.09 |
| 특수 상대성 이론과 해결해야 할 과제 (1) | 2024.04.07 |