티스토리 뷰
목차
특수 상대성 이론은 아인슈타인이 1905년 제안하였으며, 모든 관측자에게 빛의 속도가 일정하다는 광속 불변의 원리와 물리 법칙이 모든 관성 기준계에서 동일하다는 상대성 원리에 기반합니다. 이 이론은 시간 지연, 길이 수축, 동시성의 상대성으로 현대 물리학의 기초를 형성합니다.

특수 상대성 이론이란?
특수 상대성 이론은 알베르트 아인슈타인에 의해 1905년에 제안되었으며 두 가지 중요한 가정에서 출발합니다. 첫 번째는 상대성 원리입니다. 일정한 속도로 달리는 기차 내처럼 속도 변화가 없는 공간(관성계)에서 물리학의 법칙이 같게 적용된다고 가정합니다. 또한, 다른 관성계에서도 물리학적 실험 결과가 같다는 가정입니다. 두 번째는 광속 불변의 원리입니다. 진공에서 빛의 속도는 모든 관측자에게 1초 동안 299,792 킬로미터를 움직인다는 가정입니다. 상대성 원리와 광속 불변의 원리는 뉴턴 역학의 틀을 확장하며 현대 물리학의 여러 기본 원리가 되었습니다. 그리고 두 가정으로 인해 파생되는 결과가 세 가지 있습니다.
- 첫 번째가 시간의 상대성입니다. 고속으로 움직이는 시계는 정지한 시계보다 느리게 흐르는 효과로 시간 지연이라 합니다.
- 두 번째가 길이 수축입니다. 운동 방향으로 빠르게 움직이는 물체의 길이가 관측자에게 길이가 짧아 보이는 현상입니다. 이 현상은 물체가 빛의 속도에 근접할 때 확연해집니다.
- 세 번째가 동시성의 상대성입니다. 두 사건이 어떤 관측자에게는 동시에 일어나는 것처럼 보이지만 다른 관측자에게는 서로 다른 시간에 발생합니다. 이런 현상을 좀 더 쉽게 설명하도록 하겠습니다.
특수 상대성 이론의 가정: 광속 불변의 원리 이해
특수 상대성 이론은 빛의 속도처럼 매우 빠른 속도로 움직이는 세계를 다루며 고전 역학(뉴턴 역학)에서 설명할 수 없는 현상들을 설명합니다. 이 이론은 시간과 공간에 대한 기존의 이해를 근본적으로 흔들어 놓은 혁명적인 이론으로 "On the Electrodynamics of Moving Bodies"라는 논문에 소개되었습니다. 고전 뉴턴 역학의 개념을 넘어 광속 불변의 원리와 상대성 원리의 두 가정을 전제합니다. 먼저 특수상대성 이론의 핵심 개념 중 하나인 광속 불변의 원리에 관해 알아보겠습니다.
광속 불변의 원리는 "빛의 속도는 진공에서 약 299,792 킬로미터/초이며 모든 관측자에게 동일하게 측정된다"는 의미입니다. 일상에서 일어나는 예시로 알아보겠습니다. 기차에 타고 있는 사람과 플랫폼에 서 있는 관측자가 있습니다. 기차가 플랫폼을 지날 때, 기차 안의 사람이 손전등을 켜서 기차의 한쪽에서 다른 쪽으로 빛을 보냅니다. 이때 기차 안에서 빛의 속도를 측정하면 여전히 299,792km/s로 측정됩니다. 이 때 고전 물리학에서는 관측자에게 빛의 속도가 기차의 속도와 더해지거나 차감되어야 합니다. 하지만 아인쉬타인은 플랫폼에 서 있는 관측자가 기차 안에서 발생한 빛을 보았을 때, 빛의 속도는 기차의 이동 속도를 더하거나 빼지도 않으며 299,792 킬로미터/초로 항상 일정하다는 가정입니다. 이는 고전 물리학의 이해와 달리 전혀 직관적이지 않은 결과입니다. 이 원리가 중요한 이유는 빛의 속도가 우주의 근본적인 속성으로 고려되기 때문입니다. 즉, 시간 지연과 길이 수축과 같은 현상을 설명하는 데 필수 가정입니다.
특수 상대성 이론과 시간 지연
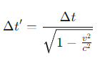
특수 상대성 이론에서 시간 지연은 빠르게 움직이는 물체 내(예시로 빛의 속도에 가까운 우주선)의 시계가 정지해 있는 관측자에 비해 느리게 움직이는 현상을 설명합니다. 이는 앞서 설명한 빛의 속도가 모든 관측자에게 동일하다는 광속 불변의 원리에 기반을 두고 있습니다. 이 현상은 아래의 로렌츠 변환을 사용한 수식으로 설명할 수 있습니다.

이 수식에서
쉽게 설명하자면, 우주선이 지구를 떠나 빛의 속도에 근접한 빠르기로 여행합니다. 이때 위의 수식에서 알 수 있는 것처럼 분모가 1보다 작아지기 때문에 우주선 내의 시계가 측정한 Δt′은 지구에 남아 있는 관측자의 Δt 보다 천천히 흘러갑니다. 만약 우주선이 한 시간 동안 빛의 속도와 접근하도록 움직였다면, 지구의 관측자에게는 그 시간이 훨씬 더 길게 느껴집니다. 이는 우주 비행사가 지구로 돌아왔을 때, 지구에서 보낸 시간보다 훨씬 적은 시간이 경과했다고 느낄 수 있는 쌍둥이 역설입니다. 이러한 시간 지연을 고려하여야 하는 예시 3가지를 들어 보았습니다.
첫 번째 예시는 GPS 기술에서의 적용입니다. GPS 시스템은 지구를 도는 위성에서 오는 신호로 관측자의 위치를 결정합니다. 우주에서 위성들은 고속으로 움직여 위성의 정확한 위치를 계산할 때 특수 상대성 이론의 시간 지연을 반드시 고려해야 합니다. 광속 불변의 원리에 따라 위성과 수신기 사이에서 발생하는 시간 지연을 정확하게 계산해야만, 위치 측정에서의 오차를 방지할 수 있습니다.
두 번째 예시는 광학적 매질의 특성 실험입니다. 물리 실험에서 빛이 두 지점 사이를 이동하는 시간을 측정할 때, 빛의 속도가 관측자의 위치나 움직임과 무관하게 일정하다는 원리로 빛이 특정 매체를 통과할 때의 속도 변화를 연구하여 그 매체의 광학적 특성을 파악할 수 있습니다.
세 번째 예시는 빛의 도플러 효과와 관련된 천문학입니다. 별이나 은하가 지구로부터 멀어지거나 가까워질 때 빛의 도플러 효과가 발생합니다. 별이나 은하가 멀어질 경우 빛의 파장이 늘어나 붉게 보이는 적색 편이가, 가까워질 경우 파란색으로 보이는 청색 편이는 광속 불변의 원리에 근거하며 우주의 팽창 속도를 측정하는 데 사용됩니다.
특수 상대성 이론과 길이 수축
특수 상대성 이론에서 길이 수축은 고속으로 움직이는 물체의 길이가 정지해 있는 관측자에게 실제 길이보다 짧게 보이는 현상입니다. 길이 수축은 물체가 빛의 속도에 가까운 속도로 움직일 때 관찰되며 물체의 운동 방향과 관련이 있어 운동 방향으로만 길이가 수축합니다. 길이 수축은 다음과 같은 수식으로 계산할 수 있습니다.

여기서
이 수식에 따르면, 물체의 속도
특수 상대성이론과 동시성의 상대성
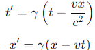
동시성의 상대성에 따르면 두 사건이 한 관측자에게는 동시에 발생하는 것처럼 보일 수 있지만, 다른 관측자에게는 서로 다른 시간에 발생하는 것으로 관측될 수 있는 현상으로 관측자의 상대적인 운동 상태에 따라 시간의 경과가 달라지기 때문에 발생합니다. 수식으로 설명하기 위해 로렌츠 변환을 사용할 수 있습니다. 로렌츠 변환은 시간과 공간의 좌표를 한 관성계에서 다른 관성계로 변환하는 수학적 방정식입니다. 이 변환은 시간과 공간의 좌표가 서로 다른 속도로 움직이는 관찰자 사이에 어떻게 측정량이 변화하는지를 보여 줍니다. 로렌츠 변환은 특수 상대성 이론의 광속 불변의 원리와 상대성 원리를 만족시키도록 고안되었으며 두 사건의 시간과 공간 좌표는 다음과 같이 변환됩니다. 단, 두 관찰자는 좌표계의 x 축으로만 움직입니다.


이 수식에서
철수와 찬호가 각각 지구 A 위치와 지구 B 위치에 있습니다. 불꽃놀이를 철수가 보고 있을 때 지구의 어딘가에서 동시에 불꽃놀이가 진행되고 있습니다. 철수는 불꽃놀이가 동시에 일어나고 있다고 생각합니다. 한편 찬호는 매우 빠르게 움직이는 기차를 타고 있습니다. 찬호의 관점에서 불꽃놀이가 동시에 일어나지 않는데 이것이 바로 동시성의 상대성입니다. 로렌츠 변환의 수식을 사용하면 철수가 보는 불꽃놀이의 시간을
우리는 일반적으로 물리적 사건이 절대적인 시간과 공간에서 일어난다고 생각하지만 상대성 이론은 시간과 공간이 관찰자의 상대적인 움직임에 따라 변할 수 있습니다.
특수 상대성 이론이 해결해야 할 과제
특수 상대성 이론이 직면한 주요 문제점 몇 가지가 있습니다.
첫째, 중력과의 통합입니다. 특수 상대성 이론은 중력을 포함하지 않아 중력과의 통합이 필요합니다.
둘째, 일반 상대성 이론은 중력을 설명하지만, 중력과 양자 역학의 통합은 아직 진행 중입니다. 특수 상대성 이론은 고전 물리학 범위를 혁명적으로 넓혔으나 양자 역학과의 통합이 필요합니다. 양자 역학은 매우 작은 규모의 물리 현상을 잘 설명하는 반면, 특수 상대성 이론은 매우 큰 세계에서 작용합니다.
셋째, 우주의 대부분은 암흑물질과 에너지로 이루어져 있어 이를 설명하는 새로운 물리 이론이 필요합니다.
넷째, 특수 상대성 이론은 초기 우주의 발생과 진화를 설명하는 데 적합하지 않습니다. 블랙홀 내부의 물리학은 특수 상대성 이론이 적용되지 않습니다. 특히 블랙홀의 이벤트 호라이즌 안쪽에서의 시간과 공간의 특성은 미지의 세계입니다.
다섯째, 빛의 속도가 모든 관측자에게서 일정하다는 원리를 기반으로 하지만 왜 일정한지 근본적인 이유는 아직 밝혀지지 않았습니다. 상대성 이론은 이러한 사실을 단순히 가정으로 받아들이고 있습니다.
여섯째, 가로 도플러 효과는 관측자가 이동하는 속도에 따라 파동의 주파수가 변화하는 현상으로 관측자의 운동 상태에 따라 파장이 압축되거나 늘어나는 것입니다. 상대성 이론은 이러한 현상을 완전히 설명하는데 한계가 있습니다.
우리 우주를 설명하는데 많은 부분에 도움이 되기도 하지만 이렇듯 아직 해결해야 할 현대 물리학의 주요 연구 주제이기도 합니다.
'일상 너머의 탐구' 카테고리의 다른 글
| 올버스의 역설: 밤하늘이 왜 어두운가? (0) | 2024.04.13 |
|---|---|
| BCS 이론: 초전도의 미시적 세계 탐구 (1) | 2024.04.10 |
| 저항 없는 미래: 초전도 과학과 응용 (0) | 2024.04.10 |
| 흥미로운 역설 탐험: 슈뢰딩거 고양이 역설 (0) | 2024.04.09 |
| 빛은 입자일까? 전자는 파동일까? (1) | 2024.04.08 |